Regeneration von kompakten Erdwärmesondenfeldern für Wärmenetze

Das Projekt RegEWS zeigt, wie sich durch sommerliche Hochtemperatur-Abwärme die Anzahl benötigter Erdwärmesonden um den Faktor drei verringern lässt – ein Schlüssel für kompakte, erneuerbare Wärmenetze. Anhand der Machbarkeitsstudie wird aufgezeigt, dass ein Wärmenetz für Wallisellen technisch und wirtschaftlich realisierbar sein könnte.

Wirkungsbereich
Energiespeicherung
Branche
Energiewirtschaft
Projektstand
abgeschlossen
Projektart
Machbarkeitsstudie
Projektbudget
150'000 CHF
Projektpartner
die werke versorgung wallisellen ag, OST
Karte des Gebiets Wallisellen mit farbigen Zonen für geothermisches Potenzial: blau markierte Bereiche für Grundwassernutzung, grüne Flächen für mögliche Erdwärmesondenfelder und rote Zone für geplantes Wärmenetz. Zusätzlich sind bestehende Bohrungen und Infrastruktur eingezeichnet.
Potenzialkarte für Erdwärmesonden in Wallisellen. Quelle: die werke versorgung wallisellen ag

Ausgangslage

  • Thermische Netze sind zentral für die Dekarbonisierung urbaner Wärmeversorgung
  • Untiefe Geothermie gewinnt deutlich an Bedeutung als lokal Energiequelle.
  • Grosse Erdwärmesondenfelder benötigen enorme Flächen.
  • Sommerliche Abwärme könnte zur Regeneration und Flächenreduktion genutzt werden.

Projektbeschrieb

Schematische Darstellung eines thermischen Netzes mit Gebäuden, einer Kehrichtverbrennungsanlage, einem Erdwärmesondenfeld unter einem grünen Spielfeld sowie Leitungen für Wärme (rot) und Kälte (blau). Die Grafik zeigt die Energieflüsse zwischen Abwärmequelle, Wärmepumpe und Verbrauchern.
Konzept für Wärmenetz mit regeneriertem Erdwärmesondenfeld. Quelle: die werke versorgung wallisellen ag

Die werke versorgung wallisellen ag plant ein vollständig fossilfreies Wärmenetz für Wallisellen und Umgebung. Da andere Energiequellen fehlen, soll ein grosses Erdwärmesondenfeld als saisonaler Speicher dienen. Die Machbarkeitsstudie untersucht, wie sich die Kapazität durch Regeneration mit Abwärme aus der Kehricht­verwertungs­anlage Hagenholz und weiteren Quellen steigern lässt. Simulationen zeigen den Einfluss von Temperatur, Regenerationsdauer und Feldkonfiguration. Ziel ist ein Konzept, das den Flächenbedarf und die Kosten deutlich reduziert.

Projektziele

  • Reduktion des Flächenbedarfs grosser Erdwärmesondenfelder durch Hochtemperatur-Regeneration aufzeigen
  • Analyse technischer und wirtschaftlicher Machbarkeit für die konkreten Randbedingungen
  • Grundlagen für die Realisierung eines Wärmenetzes für Wallisellen schaffen
  • Ableitung von Handlungsempfehlungen für zukünftige Wärmenetze

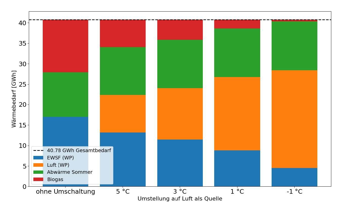
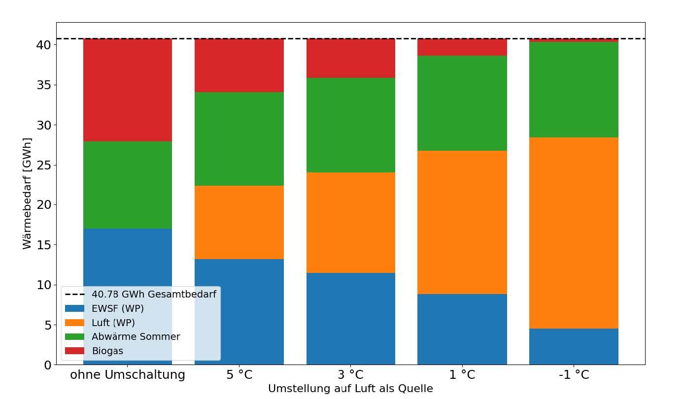
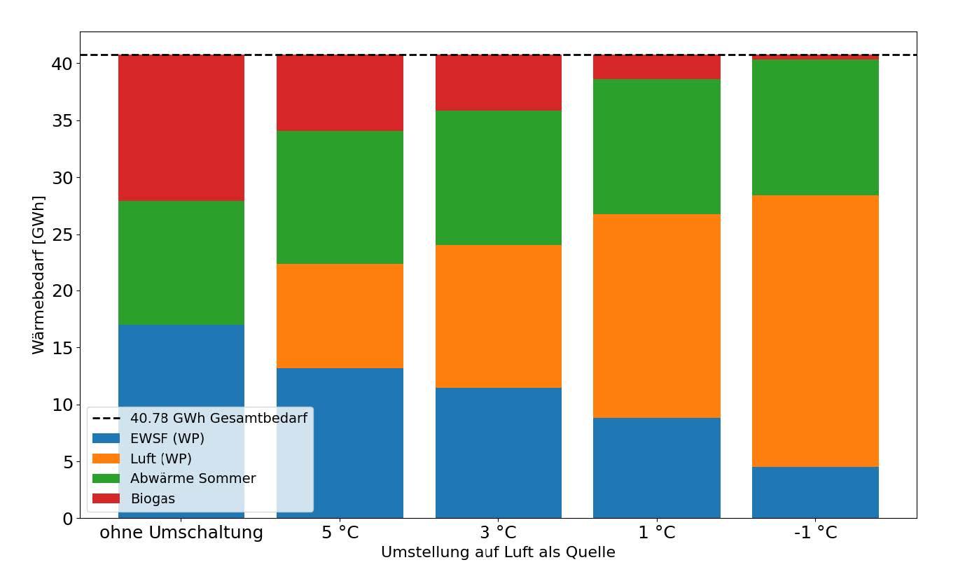
Die Studie bestätigt, dass Hochtemperatur-Regeneration den Flächenbedarf grosser Erdwärmesondenfelder drastisch reduziert: Bei 70 °C sinkt die Sondenanzahl von 594 auf 192. Eine längere Regenerationsdauer erhöht den Deckungsgrad des Winterwärmebedarfs von 59 % auf 68 %. Die Kombination mit Luft/Wasser-Rückkühlern senkt den Biogasanteil für Spitzenlasten von 31 % auf 12 % und steigert die Versorgungssicherheit. Damit wird die Realisierung kompakter, vollständig erneuerbarer Wärmenetze auch in dicht besiedelten Gebieten möglich.

Projektpartner

die werke versorgung wallisellen ag

Igor Bosshard

igor.bosshard@diewerke.ch

LinkedIn

Ostschweizer Fachhochschule – Institut für Solartechnik SPF

Florian Ruesch

florian.ruesch@ost.ch

Ähnliche Projekte

Kontakt

Pilotprojekte Energie – Energie

Adresse

Stampfenbachstrasse 12
8090 Zürich
Route (Google)
Adresse wurde kopiert Adresse konnte nicht kopiert werden

Telefon

+41 43 258 81 16

Michael Tobler

+41 43 259 30 13

Beat Lehmann

E-Mail

pilotprojekte@bd.zh.ch

Für dieses Thema zuständig: